トライボロジーの観点からみたカシマコートの潤滑特性

Index目次
❶二硫化モリブデンの潤滑特性について
二硫化モリブデンの特徴
二硫化モリブデンは化学記号でMoS₂と表記され,1個のモリブデンと2個の硫黄からなる化合物です。
二硫化モリブデンの優れた潤滑性はその結晶構造にあり、
MoとS間の結合は強固でSとS間の結合は非常に弱く,
SとSの間で滑りやすい特徴を持っています。
二硫化モリブデンの効果
- 二硫化モリブデンの優れた潤滑性は、その結晶構造にある
- 二硫化モリブデンは初期摩耗を早期に定常摩耗に移行する効果がある
1.特性
二硫化モリブデンは、特に高温での潤滑特性が優れています。
これは、トライボロジーにおいて高温での動作や特に過酷な条件下での利用が求められる場合に重要です。
2.固体潤滑剤
二硫化モリブデンは、固体潤滑剤として機能します。
潤滑作用は、表面間でのスリッピングや滑りを改善し、
摩擦や摩耗を低減させる事に役立ちます。
3. 自己潤滑性
カシマコートは、特定の条件下で自己潤滑性を示すことがあります。
これは、表面の化学的および物理的特性により、
潤滑油がより効果的に保持されるためです。
自己潤滑性は、潤滑剤の供給が難しい環境でも安定した動作を可能にします。
4.耐摩耗性
二硫化モリブデンを金属表面に形成させる事により、耐摩耗性を向上させる一因となります。
これにより、機械部品の寿命を延ばす効果が期待できます。
5.極圧潤滑
二硫化モリブデンは極圧潤滑の特性を持っており、
重い負荷や高い圧力下でのトライボロジー応用において有益です。
総じて、二硫化モリブデンはその特有の物性から
トライボロジーにおいて重要な素材となっています。
潤滑剤や被覆材料として利用され、
機械工学や自動車産業、航空宇宙産業などで広く使用されています。
❷境界潤滑領域のカシマコートについて
境界潤滑領域では摩擦による高温の発熱(200~700℃)が生じています。
このような高温域では、カシマコートに次の様な2つの大きな変化が生じます。
トライボロジー的観点から
カシマコートの摩擦係数μ、表面のせん断応力S、皮膜の硬度Hとすると、
μ=S/H の関係が成立します。
この関係式により説明します。
①カシマコートのモリブデン硫化物の結晶配向の促進
上式から、モリブデン硫化物の結晶配向が促進するため、
μ=S/HのS(表面のせん断応力)が低下し、
摩擦係数μそのものが低減し耐摩耗性が向上してく傾向となっています。
②カシマコート基材である硬質アルマイトの硬度の増大
これはアルマイトの加熱硬化現象として知られていますが、
上式から μ=S/HのH(硬度)の増大となり、
摩擦係数μが低減し、耐摩耗性が向上します。
上記①、②の事象により、
カシマコートの摩擦係数は低減し、常に安定した摺動を行います。
- Bの回転によりCのカシマコート軸受けに摩擦熱を発生させる
- 摩擦熱により二硫化モリブデンの結晶配向が促進される
- せん断応力が低下し二硫化モリブデンの特性が生かされる
- 最終的に摩擦抵抗が下がる
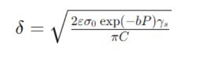
つまり、アルマイト皮膜の破壊強度はグリフィスの関係式,スプリングスの関係式などから
すなわち皮膜のヤング率E₀が大きく,
皮膜に気孔率P が少なく,表面エネルギーγsが大きく,クラックの長さC が少ない皮膜の破壊強度が高いことになります。
またアルマイト皮膜の摩擦摩耗は凝着摩耗やアブレシブ摩耗が共存する滑り摩耗であり,
クーロンの第一法則で知られる摩擦係数を考慮する必要があります。

